EFICIÊNCIA OPERACIONAL E CONFORMIDADE AMBIENTAL DE ESTAÇÃO DE TRATAMENTO DE EFLUENTES EM CONDOMÍNIO: UM ESTUDO EM JUAZEIRO DO NORTE - CE
índice
- 1. RESUMO
- 2. INTRODUÇÃO
- 3. REFERENCIAL TEÓRICO
- 4. ÁREA DE ESTUDO
- 4.1 Aspectos socioeconômicos e ambientais de Juazeiro Do Norte
- 4.2 Esgotamento sanitário
- 4.3 Condomínio Residencial Tenente Coelho
- 5. PROCEDIMENTO METODOLÓGICO
- 5.1 Levantamento e Análise de Projetos Técnicos
- 5.2 Avaliação Comparativa das Estações de Tratamento
- 5.3 Análise do Sistema de Esgotamento Sanitário do Condomínio
- 5.4 Análise da Estação de Tratamento de Esgoto (ETE)
- 5.5 Análise de Indicadores de Qualidade
- 6. RESULTADOS E DISCUSSÕES
- 7. CONSIDERAÇÕES FINAIS
- 8. REFERÊNCIAS
 
                    O texto publicado foi encaminhado por um usuário do site por meio do canal colaborativo Monografias. Brasil Escola não se responsabiliza pelo conteúdo do artigo publicado, que é de total responsabilidade do autor . Para acessar os textos produzidos pelo site, acesse: https://www.brasilescola.com.
1. RESUMO
Este trabalho avalia a eficiência da Estação de Tratamento de Efluentes (ETE) do Condomínio Residencial Tenente Coelho, em Juazeiro do Norte-CE. A pesquisa analisou a capacidade operacional da ETE, a qualidade do efluente tratado e sua conformidade com as resoluções CONAMA n.º 430/2011 e COEMA n.º 02/2017. Os resultados de três meses de monitoramento indicaram que a ETE atende aos padrões legais, embora a Demanda Bioquímica de Oxigênio (DBO) estivesse próxima ao limite. Verificou-se também que a rede coletora e a ETE operam abaixo da capacidade projetada, sugerindo subutilização da infraestrutura. O estudo recomenda a reativação de um biodigestor existente para otimizar o desempenho do sistema e gerar energia limpa, especialmente em cenários de aumento de vazão. O trabalho enfatiza a importância da gestão técnica eficiente e do monitoramento contínuo para o saneamento urbano sustentável.
Palavras-chave: Saneamento urbano. Eficiência de tratamento. Esgotamento Sanitário.
2. INTRODUÇÃO
O crescimento populacional e a urbanização acelerada têm gerado impactos significativos sobre os recursos naturais, especialmente sobre os recursos hídricos. A gestão adequada do esgotamento sanitário torna-se, nesse cenário, uma medida indispensável para a preservação ambiental e a promoção da saúde pública. As Estações de Tratamento de Efluentes (ETE) desempenham papel central nesse contexto, ao garantir que os efluentes gerados nas atividades humanas sejam tratados antes de retornarem ao meio ambiente (Silva, 2012; Chernicharo, 2007).
No Brasil, apesar dos avanços proporcionados pelo Marco Legal do Saneamento (Lei n.º 14.026/2020), ainda existem desafios relacionados à cobertura dos serviços de tratamento de esgoto e à eficiência dos sistemas implantados (Brito; Rangel, 2008). Em áreas urbanas em expansão, como o município de Juazeiro do Norte, localizado no sul do estado do Ceará, empreendimentos residenciais têm adotado soluções próprias de tratamento, por meio de Estações de Tratamento de Efluentes (ETEs) compactas, como alternativa à ausência ou limitação das redes públicas de coleta e tratamento de esgoto (Barbosa, 2009).
O município conta com um sistema de esgotamento sanitário que ainda enfrenta deficiências significativas. Em 2022, somente 22,31% dos esgotos gerados foram tratados, resultando no despejo de grandes volumes de efluentes não tratados no meio ambiente (CAGECE, 2024). A implantação de ETEs em condomínios representa uma alternativa viável e estratégica, desde que os sistemas sejam devidamente dimensionados, operados e monitorados. A ineficiência no tratamento pode acarretar sérios danos ambientais, além de riscos à saúde pública e passivos legais para os responsáveis técnicos e legais do empreendimento (Chernicharo, 2007).
Nesse sentido, um dos principais corpos hídricos impactados é o Riacho dos Macacos, que recebe tanto esgoto bruto quanto tratado, sendo alvo de estudos que apontam elevadas concentrações de coliformes, nitrato e amônia, além de contaminação das águas subterrâneas nas áreas adjacentes (França et al., 2006; Almeida, 2015; Pereira, 2023).
Neste contexto, o presente trabalho tem por objetivo avaliar a eficiência da Estação de Tratamento de Efluentes do Condomínio Tenente Coelho, em Juazeiro do Norte–CE, com base na verificação da sua capacidade operacional e da conformidade dos parâmetros de qualidade do efluente tratado em relação aos limites estabelecidos pela legislação ambiental vigente, notadamente as Resoluções CONAMA n.º 430/2011 e COEMA n.º 02/2017, a fim de propor possíveis melhorias ao sistema.
3. REFERENCIAL TEÓRICO
O tratamento de efluentes sanitários é um conjunto de processos físicos, químicos e biológicos aplicados à água residual, visando remover poluentes e torná-la apta para lançamento no meio ambiente ou para reuso, quando for o caso. Essa prática é fundamental para a preservação dos recursos hídricos e para o controle de doenças de veiculação hídrica, além de atender às exigências legais impostas pelos órgãos ambientais (Brito; Rangel, 2008).
Esta seção trata de temas relacionados à essa problemática, no sentido de consolidar o entendimento teórico sobre o assunto, subsidiando o estudo.
3.1. GESTÃO DE EFLUENTES
A gestão de efluentes é uma etapa fundamental do saneamento ambiental e consiste em um conjunto de práticas voltadas para a coleta, transporte, tratamento e disposição final dos esgotos de forma segura, minimizando seus impactos ao meio ambiente e à saúde pública. Essa gestão deve ser planejada de acordo com o crescimento urbano e a capacidade de suporte dos corpos hídricos receptores, obedecendo a critérios técnicos, ambientais e legais. Segundo Von Sperling (2014), a eficiência dos sistemas de tratamento depende diretamente da correta concepção e operação das unidades envolvidas no processo, bem como do monitoramento contínuo da qualidade do efluente tratado. Já Silva (2012) destaca que o dimensionamento e a manutenção adequados da rede coletora e das estações de tratamento são essenciais para garantir a eficácia do sistema. Brito e Rangel (2008) reforçam que a gestão integrada dos efluentes deve considerar não apenas os aspectos técnicos, mas também os econômicos e sociais, de forma a viabilizar soluções sustentáveis em longo prazo.
3.1.1. Fundamentos do tratamento de efluentes sanitários
O tratamento de efluentes sanitários é um conjunto de processos físicos, químicos e biológicos aplicados à água residual, visando remover poluentes e torná-la apta para lançamento no meio ambiente ou para reuso, quando for o caso. Essa prática é fundamental para a preservação dos recursos hídricos e para o controle de doenças de veiculação hídrica, além de atender às exigências legais impostas pelos órgãos ambientais (Brito; Rangel, 2008).
De forma geral, os sistemas de tratamento de esgoto podem ser divididos em quatro etapas: preliminar, primária, secundária e terciária. A etapa preliminar, consiste na remoção de sólidos grosseiros por meio de gradeamento e desarenação. A etapa primária, envolve a sedimentação de sólidos em suspensão, separando parte da carga poluente. Já a etapa secundária, geralmente de natureza biológica, é responsável pela degradação da matéria orgânica dissolvida por microrganismos aeróbios ou anaeróbios. Por fim, a etapa terciária, objetiva a remoção de nutrientes, patógenos e substâncias recalcitrantes, sendo aplicada quando há maior exigência de qualidade do efluente (Chernicharo, 2007; Von Sperling, 2014).
Sob essa linha de raciocínio, Estações de Tratamento de Esgoto (ETEs) podem ser classificadas conforme o tipo de tratamento empregado: físico-químico, biológico aeróbio, biológico anaeróbio ou combinado. Os sistemas aeróbios, como lodos ativados, biodiscos e lagoas de estabilização, utilizam oxigênio para promover a decomposição da matéria orgânica por microrganismos aeróbios. Já os sistemas anaeróbios, como os reatores anaeróbios de fluxo ascendente (UASB), realizam a digestão da matéria orgânica na ausência de oxigênio, gerando biogás como subproduto. Há ainda os sistemas híbridos ou combinados, que integram etapas aeróbias e anaeróbias para melhorar a eficiência do processo, muitas vezes seguidos por desinfecção (com cloro ou UV) ou polimento em lagoas facultativas. A escolha do tipo de ETE depende de diversos fatores, como a carga orgânica afluente, o clima, o espaço disponível, a viabilidade econômica e os padrões de lançamento exigidos (Chernicharo, 2007; Von Sperling, 2014).
Nessa perspectiva, o tratamento biológico anaeróbio, como o reator UASB (Upflow Anaerobic Sludge Blanket), é amplamente utilizado no Brasil devido ao seu baixo custo de operação e à boa eficiência na remoção de matéria orgânica, sendo indicado especialmente para regiões de clima tropical (Chernicharo, 2007). Em geral, esse processo é complementado por tratamentos posteriores, como filtros biológicos ou tanques de contato com desinfecção, de modo a garantir o cumprimento das normas ambientais para o lançamento do efluente tratado.
A Resolução Estadual COEMA n.º 02/2017, consoante a Resolução Federal CONAMA n.º 430/2011, estabelece os parâmetros e limites máximos permitidos para o lançamento de efluentes em corpos receptores, visando proteger os ecossistemas aquáticos e a saúde pública. Sob esse prisma, a legislação cearense complementa esses critérios, em particular no que se refere ao reuso agrícola ou urbano, embora neste trabalho o foco seja exclusivamente o retorno do efluente ao meio ambiente, sem reuso. A tabela 1 apresenta os parâmetros e limites máximos permitidos para o lançamento de efluentes em corpos receptores, conforme definido pelas legislações vigentes.
Tabela 1 – Parâmetros e limites máximos permitidos para o lançamento de efluentes em corpos receptores
| Parâmetros | Valores | Base legal | 
| DBO (5 dias a 20º C) | 120 mg/L (Efluente final) | COEMA 02/2017, art. 12, IV | 
| Escherichia coli (Coliformes Termotolerantes) | 5000 NMP/ 100mL | CONAMA 430/2011, art. 16, VI | 
| Óleos e Graxas Totais | 100 mg/L | COEMA 02/2017, art. 12, V | 
| Materiais Flutuantes | Ausentes | CONAMA 430/2011, art. 16, III | 
| pH | entre 5,0 e 9,0 | CONAMA 430/2011, art. 16, I | 
| Sólidos em Suspensão Totais (SST) | 100 mg/L | COEMA 02/2017, art. 12, III | 
| Materiais Sedimentáveis | 1,0 mL/L | CONAMA 430/2011, art. 16, IV | 
| Sulfetos | 1,0 mg/L | COEMA 02/2017, art. 12, VII | 
| Temperatura | 40ºC | COEMA 02/2017, art. 12, II | 
| Nitrogênio Total | ≤ 20,0 mg/L | COEMA 02/2017, art. 12, X | 
| Cor Aparente | ≤ 75 unidades de cor | COEMA 02/2017, art. 12, XII | 
| Turbidez | ≤ 40 NTU | COEMA 02/2017, art. 12, XIII | 
| Cloro Residual Livre | ≤ 2,0 mg/L | COEMA 02/2017, art. 12, XI | 
| Materiais Pesados (Hg, Cd, Pb) | Conformidade com CONAMA 357/2005 (Anexo X) | CONAMA 430/2011, art. 9º | 
| Fósforo Total | ≤ 2,0 mg/L | COEMA 02/2017, art. 12, VIII | 
Fonte: (Resolução COEMA n.º 02, 2017; Resolução CONAMA n.º 430, 2017 adaptado)
A fiscalização e o controle dos parâmetros de lançamento de efluentes em corpos hídricos são realizados em conformidade com normas federais, estaduais e municipais. A Autarquia Municipal de Meio Ambiente de Juazeiro do Norte (AMAJU) atua como órgão fiscalizador local, responsável por assegurar que os lançamentos estejam de acordo com a Resolução CONAMA n.º 430/2011, que estabelece condições e padrões nacionais para o lançamento de efluentes (BRASIL, 2011) e Resolução COEMA n.º 02/2017, que define os critérios específicos para o lançamento de efluentes em corpos hídricos do Ceará (CEARÁ, 2017).
Nesse contexto normativo e técnico, torna-se essencial o domínio dos fundamentos relacionados ao tratamento de efluentes para que os sistemas de ETEs possam ser adequadamente projetados, operados e avaliados. A compreensão desses princípios permite garantir o cumprimento das exigências legais e ambientais, além de promover eficiência operacional, sustentabilidade e segurança no lançamento dos efluentes tratados (Silva, 2012).
4. ÁREA DE ESTUDO
A caracterização geográfica, socioeconômica e ambiental do município de Juazeiro do Norte é essencial e permite compreender os fatores que influenciam diretamente na gestão dos recursos hídricos e no funcionamento dos sistemas de esgotamento sanitário implantados na região (IBGE, 2023; IPECE, 2024; CAGECE, 2024). Nesta seção, são apresentados os principais aspectos que definem o território estudado.
4.1. Aspectos socioeconômicos e ambientais de Juazeiro Do Norte
Juazeiro do Norte é um município localizado na região sul do estado do Ceará, integrando a Região Metropolitana do Cariri. Com uma área territorial de 258,8 km², está situado entre as coordenadas geográficas 7°12’47’’S e 39°18’55’’W. O município faz divisa com Crato, Barbalha, Caririaçu e Missão Velha, formando um dos principais polos urbanos do interior nordestino (IBGE, 2023). A distribuição territorial e os limites municipais podem ser observados na Figura 1, que ilustra a posição geográfica de Juazeiro do Norte no contexto regional.
Figura 1 – Mapa Municipal de Juazeiro do Norte
 
Juazeiro do Norte é um dos principais centros urbanos do Estado do Ceará, destacando-se pelo seu papel regional no comércio, nos serviços e, sobretudo, por seu patrimônio religioso. Reconhecida como polo de fé e peregrinação popular, a cidade abriga manifestações culturais e religiosas fortemente associadas à figura do Padre Cícero Romão Batista, líder espiritual de grande influência no imaginário social nordestino (Pereira, 2005).
Com aproximadamente 286 mil habitantes e uma densidade populacional de 1.149,85 hab/km², Juazeiro do Norte apresenta um adensamento significativamente superior à média estadual de 59,07 hab/km² (Instituto Trata Brasil, 2021). Esse crescimento populacional acelerado tem gerado forte pressão sobre a infraestrutura urbana, principalmente nos serviços essenciais, como abastecimento de água e esgotamento sanitário.
Ademais, o relevo predominante da região é plano, com destaque para a Serra do Horto, onde se encontra o monumento do Padre Cícero, e pequenas depressões que acompanham os cursos d’água, como nos bairros Timbaúbas e Limoeiro. A vegetação é composta majoritariamente por caatinga arbustiva, adaptada ao clima semiárido local, que apresenta temperaturas médias anuais entre 24 °C e 27 °C e índices pluviométricos concentrados entre os meses de janeiro e maio (IPECE, 2024). A média anual de precipitação em Juazeiro do Norte, segundo a Fundação Cearense de Meteorologia e Recursos Hídricos (Funceme), é de aproximadamente 970,7 mm.
4.2. Esgotamento sanitário
A responsabilidade pela prestação dos serviços de abastecimento de água, de coleta e tratamento de esgoto em Juazeiro do Norte é do município, conforme estabelece a Lei n.º 11.445/2007 (Marco Legal do Saneamento). Contudo, a execução desses serviços é realizada pela Companhia de Água e Esgoto do Ceará (CAGECE), que atua por meio de contrato de concessão. A empresa está presente no município desde 1971 e, em 2019, teve sua concessão renovada por mais 30 anos, com validade até 2053 (CAGECE, 2024; Blog do Boa, 2019).
A Figura 2, ilustra a distribuição do esgotamento sanitário por bairro no município de Juazeiro do Norte, evidenciando contrastes significativos na cobertura do serviço. Observa-se que os bairros centrais contam majoritariamente com sistemas convencionais ou condominiais, enquanto regiões periféricas permanecem desassistidas. Essa desigualdade é destacada por Silva (2020), que ao mapear o acesso ao esgotamento sanitário no município, ressalta os desafios enfrentados para a efetividade dos serviços de saneamento básico em contextos urbanos marcados por crescimento acelerado, como o caso de Juazeiro do Norte.
Figura 2 - Esgotamento sanitário por bairro em Juazeiro do Norte
 
Em 2022, o município gerou aproximadamente 11.112,36 mil m³ de esgotos, dos quais somente 22,31% foram coletados e tratados, resultando no despejo de cerca de 8.632,80 mil m³ de esgotos na natureza sem tratamento (SNIS - IAS, 2022). Atualmente, a CAGECE, em parceria com a empresa Ambiental Ceará, está implementando um plano de universalização do esgotamento sanitário em Juazeiro do Norte e outros municípios da região do Cariri. A meta é alcançar 90% de cobertura até 2033 e 95% até 2040, beneficiando um total de cerca de 342 mil pessoas (CAGECE, 2024).
Apesar dos avanços planejados, o município ainda apresenta índices alarmantes de cobertura. Exclusivamente, 23,41% da população dispõe de rede coletora de esgoto, valor inferior à média estadual (29,6%) e nacional (55,5%). Isso implica que cerca de 219.153 habitantes continuam lançando seus resíduos diretamente no solo ou em corpos d’água, representando um sério risco à saúde pública e ao meio ambiente (Observatório do Marco Legal do Saneamento, 2022).
Neste contexto, um dos principais corpos hídricos impactados pelo lançamento de esgoto doméstico em Juazeiro do Norte é o Riacho dos Macacos. Esse manancial recebe tanto esgoto in natura quanto tratado, funcionando como canal receptor de efluentes de diferentes pontos da cidade. Estudos realizados por França et al. (2006) e Almeida (2015) identificaram concentrações elevadas de coliformes totais e termotolerantes, além de nitratos e amônia nas margens e no leito do riacho. Esses contaminantes não somente afetam a qualidade da água superficial, como também se infiltram no solo, comprometendo os aquíferos subterrâneos utilizados para abastecimento humano.
Assim, os poços tubulares localizados nas margens do riacho apresentaram, em análises, valores de nitrato acima dos limites estabelecidos pela Portaria GM/MS n.º 888/2021, indicando um quadro de contaminação das águas subterrâneas por infiltração de esgoto doméstico (Pereira, 2023).
4.3. Condomínio Residencial Tenente Coelho
Inaugurado e entregue a população no ano de 2012, o Condomínio Residencial Tenente Coelho Alves está situado no bairro Aeroporto em Juazeiro do Norte, nas coordenadas geográficas 7°12’33” S e 39°17’16” W. Trata-se um empreendimento do Programa Minha Casa, Minha Vida, destinado a famílias de baixa renda. O conjunto habitacional é composto por quatro blocos: Tenente Coelho I, II, III e IV, totalizando 980 unidades habitacionais. (Secretaria das Cidades-CE, 2024). A Figura 3, mostra uma imagem de satélite na qual é possível ver a disposição do condomínio e suas respectivas divisões.
Figura 3 – Condomínio Residencial Tenente Coelho Alves
 
Dentre os casos em que o esgoto doméstico passa por etapas de tratamento antes de ser lançado no meio ambiente, destaca-se o do Condomínio Residencial Tenente Coelho, por sua grande concentração de residências e consequentemente grande volume de geração de águas residuais, contando com uma Estação de Tratamento de Efluentes (ETE) para atender tais necessidades.
Com isso, a proximidade geográfica de importantes corpos hídricos como o Riacho dos Macacos e o volume gerado pelo conjunto habitacional tornam este um exemplo relevante de análise e estudo a fim de determinar se o retorno de efluentes à natureza é controlado e dentro dos parâmetros ambientais estabelecidos, assim como se seu sistema de esgotamento está operando nas conformidades projetadas. A Figura 4, ilustra a localização do residencial, sua respectiva Estação de Tratamento de Efluentes (ETE) e a relação espacial direta com o Riacho dos Macacos.
Figura 4 – Riacho dos Macacos e Condomínio Residencial Tenente Coelho Alves
 
5. PROCEDIMENTO METODOLÓGICO
O método adotado neste trabalho foi estruturado em etapas sequenciais que permitiram uma análise aprofundada da situação do esgotamento sanitário em Juazeiro do Norte, com foco específico na estação de tratamento do condomínio residencial Tenente Coelho. As etapas incluem o levantamento e análise de projetos, a seleção da estação de estudo e a investigação da relação desta com o corpo hídrico Riacho dos Macacos.
5.1. Levantamento e Análise de Projetos Técnicos
Inicialmente, foi realizado o levantamento e a análise dos projetos técnicos das redes de esgoto e das estações de tratamento de esgoto (ETEs) existentes no município de Juazeiro do Norte. Essa etapa foi essencial para compreender o panorama atual do saneamento básico local, incluindo o traçado das redes coletoras, as tecnologias utilizadas, os tipos de tratamento adotados e as respectivas áreas de abrangência. Além disso, essa análise permitiu situar a ETE objeto deste estudo dentro do sistema municipal, oferecendo subsídios técnicos para a escolha da estação estudada e avaliação de sua eficiência operacional e de seu papel na infraestrutura de saneamento da região.
Com o apoio de dados fornecidos pela CAGECE, foi possível mapear com precisão as ETEs e a malha de coleta de esgoto, identificando a localização e a integração entre as unidades e redes coletoras. Para aprimorar a compreensão espacial e hidrológica da dinâmica de escoamento e lançamento dos efluentes, foram utilizadas ferramentas de sensoriamento remoto, como imagens de satélite via Google Earth, integradas a projetos georreferenciados e mapas de rede de esgoto fornecidos pela Companhia de Água e Esgoto do Ceará (CAGECE).
5.2. Avaliação Comparativa das Estações de Tratamento
Com base nas informações obtidas na fase anterior, procedeu-se à análise comparativa das ETEs em operação no município. Foram analisados aspectos como o traçado das redes coletoras, os tipos de tratamento adotados em cada unidade, a tecnologia empregada e a capacidade de atendimento de cada sistema. Esse processo envolveu o levantamento de dados técnicos e operacionais, volume de contribuição, nível de eficiência no tratamento dos efluentes e o tipo de disposição final adotada. Essa análise integrada permitiu visualizar a configuração dos sistemas em operação e comparar suas características, direcionando a escolha da ETE a ser investigada neste estudo.
5.3. Análise do Sistema de Esgotamento Sanitário do Condomínio
Com base em dados técnicos fornecidos pela CAGECE, foi possível realizar o dimensionamento do sistema de esgotamento sanitário do Condomínio usando como base única a norma NBR 9649:1986, com o intuito de identificar se a rede coletora existente se apresenta compatível com os padrões recomendados para garantir o escoamento adequado e a autolimpeza do sistema. A CAGECE possui normas próprias usadas também para fins de dimensionamento, porém as mesmas foram desconsideradas pois diferem da ABNT.
5.4. Análise da Estação de Tratamento de Esgoto (ETE)
Foi realizada a análise desta ETE com base em informações técnicas fornecidas pela CAGECE. Tais dados foram essenciais para conhecimento e análise de características do sistema como capacidade, vazão, etapas fundamentais do processo de tratamento, equipamentos e dispositivos, dentre outras. A avaliação permitiu compreender a dinâmica de funcionamento da estação e sua capacidade de atender à demanda atual do condomínio com base nos parâmetros operacionais projetados.
5.5. Análise de Indicadores de Qualidade
A análise dos indicadores de qualidade do efluente tratado foi realizada com base em dados disponibilizados pela CAGECE, responsável por todo o processo de coleta, ensaio e monitoramento das amostras. Os resultados dos parâmetros obtidos nos meses de fevereiro, março e abril de 2025 foram comparados com os limites estabelecidos pela Resolução CONAMA n.º 430/2011 e pela Resolução COEMA n.º 02/2017, por meio de elaboração de gráficos que puderam facilitar a visualização dos resultados, bem como a desempenho do sistema. Essa abordagem permitiu avaliar, de forma objetiva e clara, o desempenho da Estação de Tratamento de Efluentes em relação aos parâmetros exigidos pela legislação ambiental vigente, com o intuito de verificar a conformidade do lançamento do efluente tratado no meio ambiente.
6. RESULTADOS E DISCUSSÕES
Conforme realizada análise detalhada dos projetos técnicos relacionados às redes de esgoto e às estações de tratamento de esgoto (ETEs) do município de Juazeiro do Norte, foi possível compreender a estrutura do sistema de saneamento básico em questão. Na Figura 5 tem-se um mapa georreferenciado que fornece uma visão mais clara da malha de coleta do município.
Figura 5 – Traçado Georreferenciado do Sistema de Coleta de Esgoto de Juazeiro do Norte
 
Sob esse prisma, a disposição dos pontos de tratamento dos efluentes coletados por esta malha ficam evidenciados na Figura 6, extraída do Projeto Geral do Sistema de Esgotamento Sanitário de Juazeiro do Norte, atualizado pela Companhia de Água e Esgoto do Ceará (CAGECE) em 2023. Esse documento, além de fornecer uma visão abrangente das redes existentes, também trouxe informações a respeito das principais estações de tratamento em operação, a qual são a ETE Vila Três Marias, ETE Malvas e ETE Tenente Coelho, que tem como respectivos pontos de lançamento os corpos hídricos Rio Salgadinho e Riacho dos Macacos (CAGECE, 2025). Com isso foi possível avaliar a cobertura dos serviços, identificar a distribuição espacial das unidades e verificar as particularidades operacionais de cada infraestrutura implantada.
Figura 6 – Redes coletoras, Emissários e Estações de Tratamento de Efluentes (ETE) em Juazeiro do Norte
 
A ETE Vila Três Marias atende aproximadamente 200 residências e opera com um único reator anaeróbio do tipo UASB. A estação possui uma vazão média de 2 L/s, configurando-se como um sistema compacto, de baixa complexidade e escala reduzida (CAGECE, 2025). Sua estrutura limitada e baixa representatividade dentro do sistema geral de esgotamento do município a tornam menos adequada para um estudo mais aprofundado no escopo deste trabalho, apesar de sua importância local. Além disso, pela ausência de etapas posteriores de polimento ou desinfecção, é provável que o sistema opere de forma simplificada, com baixa carga orgânica.
Em contraste, a ETE Malvas representa o maior e mais complexo sistema de tratamento de esgoto de Juazeiro do Norte. A estação atende cerca de 20 mil imóveis e possui uma capacidade de tratamento de 100 L/s, com atual potencial proposta de expansão para até 140 L/s, sendo esta responsável pelo maior volume de efluentes tratados da cidade (CAGECE, 2025). Seu sistema é composto por cinco lagoas de estabilização: duas anaeróbias, duas facultativas e uma de maturação, caracterizando um tratamento completo, em várias etapas (CAGECE,2025). Além da expressiva capacidade operacional, a ETE Malvas recebe grande parte dos esgotos não só em sua proximidade, mas também da grande maioria dos bairros do município, direcionados por meio de estações elevatórias de esgoto (EEE’s), evidenciando seu papel central na gestão sanitária da cidade. Em razão de seu porte elevado e da complexidade operacional que envolve, a ETE Malvas não foi selecionada para análise técnica neste estudo, que tem como foco uma estação de menor escala, condizente com uma abordagem mais específica e aplicada. A Figura 7, permite visualizar a distribuição espacial e ter uma dimensão das lagoas de estabilização, bem como sua disposição em relação à estação de tratamento e à proximidade com o leito do Rio Salgado.
Figura 7 – Rio Salgado, Lagoas de Estabilização e ETE Malvas
 
A ETE do Condomínio Residencial Tenente Coelho apresenta características operacionais e estruturais de porte intermediário, com dados acessíveis e menor complexidade técnica, o que a torna adequada para estudos detalhados dentro do objetivo proposto neste trabalho. Trata-se de uma estrutura recente, com baixa idade operacional, que conta com sistema de tratamento que envolve múltiplas etapas que antecedem o lançamento do efluente a natureza.
Para garantir a coleta e condução eficiente dos efluentes gerados, o Condomínio Tenente Coelho é atendido por um sistema de esgotamento sanitário composto por ramais prediais de águas residuais, dimensionados conforme o padrão técnico da CAGECE. Cada uma das 980 unidades habitacionais possui ligações de esgoto com tubulações de 100 mm de diâmetro, conectadas à rede coletora principal, cuja extensão total é de aproximadamente 2.000 metros. As tubulações da rede coletora variam entre 150 mm e 200 mm de diâmetro, conforme a demanda e o posicionamento dentro do sistema (CAGECE, 2024). Na Figura 8, temos a planta do sistema, onde é possível visualizar todo o caminhamento que a rede percorre até chegar a ETE.
Figura 8 – Rede Coletora de Esgoto do Condomínio Tenente Coelho
 
Para o dimensionamento da demanda de esgoto do condomínio, adotou-se um consumo médio de 150 litros por habitante por dia, valor compatível com áreas urbanas brasileiras de médio porte, segundo recomendações técnicas amplamente utilizadas por companhias de saneamento (Santos, 2012) e por autores como Von Sperling (2014). Segundo a CAGECE, esse consumo é compatível também com o valor adotado em seu Manual de Encargos de Obras de Saneamento (MEOS), que fornece diretrizes técnicas para projetos de sistemas de esgotamento sanitário, incluindo parâmetros para cálculo de vazões, seleção de materiais, declividades mínimas e velocidades de autolimpeza (CAGECE, 2025).
Com base em dados médios de ocupação habitacional do programa Minha Casa, Minha Vida, foi considerada uma taxa de quatro moradores por unidade habitacional (CAIXA, 2021), totalizando uma população estimada de 3.920 habitantes para o conjunto. Para o dimensionamento da geração de esgoto, adotou-se uma taxa de retorno de 90% do volume de água consumido, valor usualmente empregado em projetos de esgotamento sanitário e compatível com a recomendação da NBR 12208:2017, que orienta sobre os critérios de dimensionamento de estações de tratamento de esgoto sanitário. Considerando um consumo de 150 litros por habitante por dia, estimou-se uma geração de esgoto de 529,2 m³/dia, correspondente a uma vazão média de 6,12 L/s. Em relação ao horizonte de projeto, seguiu-se a diretriz técnica da NBR 12208:2017, que recomenda um período de 20 anos para obras de esgotamento sanitário.
Para o cálculo da vazão de projeto, foi adotado um fator de pico igual a 1,5, conforme indicado na Tabela 2, adaptada da NBR 9649:1986, para populações entre 2.000 e 5.000 habitantes. Esse fator é um coeficiente adimensional cuja finalidade é considerar as variações horárias da contribuição de esgoto ao longo do dia, especialmente em períodos de maior consumo. Aplicando esse fator à vazão média estimada de 6,12 L/s, obtém-se uma vazão de projeto de 9,18 L/s, valor a ser utilizado no dimensionamento hidráulico das tubulações coletoras.
Tabela 2 – Fator de Pico (fp) conforme a população contribuinte
| População (hab) | Fator de Pico (fp) | 
| Até 100 | 3,0 | 
| De 101 a 500 | 2,5 | 
| De 501 a 1.000 | 2,2 | 
| De 1.001 a 2.000 | 2,0 | 
| De 2.001 a 5.000 | 1,5 | 
| De 5.000 a 10.000 | 1,4 | 
| De 10.001 a 50.000 | 1,3 | 
| Acima de 50.000 | 1,2 | 
Fonte: (ABNT. NBR 9649, 1986; adaptado)
Para conduzir a vazão de esgoto de forma segura e garantir o escoamento eficiente, foi considerada a velocidade mínima de autolimpeza de 0,6 m/s, parâmetro amplamente utilizado em projetos de redes coletoras (VON SPERLING, 2014; ABNT, 1986). Esse valor visa evitar o acúmulo de sólidos nas tubulações, assegurando a autolimpeza do sistema, como recomenda Von Sperling (2014) e Santos (2012). A CAGECE utiliza de alguns outros procedimentos que estão desconforme a norma. Com base nisso, recomenda-se o uso de tubulações com diâmetro nominal de 150 mm, capazes de suportar vazões de até 15 L/s com declividade mínima de 0,5% (Santos, 2012; CAGECE, 2022). Em trechos com menor contribuição, podem ser utilizadas tubulações de 100 mm, desde que mantidas as condições de escoamento livre e a velocidade mínima.
A rede coletora do condomínio, executada com trechos de 200 mm nos principais e 150 mm nos secundários (CAGECE, 2025), mostra-se adequada para atender à demanda estimada com segurança operacional.
Nessa mesma linha de raciocínio, o efluente coletado segue então para o processo de tratamento na ETE do condomínio. O processo tem início com uma etapa de pré-tratamento, onde ocorrem o gradeamento, responsável pela remoção de materiais grosseiros, e o desarenador, que separa partículas minerais mais densas, conforme ilustrado na Figura 9. O gradeamento atua como uma barreira inicial, retendo objetos sólidos de maior porte que costumam estar presentes no esgoto bruto, como pedaços de plástico, panos, papel, embalagens, fraldas descartáveis, preservativos, galhos, pedras e até pequenos resíduos domésticos descartados inadequadamente. Essa etapa é essencial para proteger os equipamentos das unidades seguintes, evitando entupimentos, desgaste excessivo e falhas operacionais (Chernicharo, 2007; Von Sperling, 2014).
Figura 9 – Sistema de Tratamento Preliminar (Gradeamento e Desarenador)
 
Em seguida, o efluente passa por uma calha Parshall, utilizada para a medição da vazão afluente, como será mostrado na Figura 10. A Estação de Tratamento de Esgoto (ETE) está dimensionada para receber até 10 litros por segundo (CAGECE, 2025). No entanto, segundo a CAGECE, as medições realizadas na calha Parshall indicam que a vazão real máxima afluente ao sistema é de aproximadamente 3,7 litros por segundo, valor significativamente inferior à capacidade instalada da unidade. Essa diferença demonstra que a estação opera com grande margem de folga, recebendo em somente cerca de 37% de sua capacidade máxima, evidenciando que o sistema se encontra superdimensionado para a carga atual.
Por um lado, a subutilização da ETE pode representar uma margem de segurança operacional importante, garantindo capacidade para absorver aumentos futuros na demanda, além de reduzir riscos de sobrecarga, falhas e facilitar a execução de manutenções sem comprometimento do processo de tratamento. Tal superdimensionamento pode ser considerado uma estratégia preventiva para assegurar a confiabilidade do sistema frente a possíveis expansões da rede coletora e crescimento populacional.
Por outro lado, operar com baixo aproveitamento da capacidade pode indicar subutilização dos investimentos realizados na infraestrutura, elevando o custo unitário do tratamento. Além disso, a eficiência dos processos biológicos pode ser comprometida, visto que etapas como reatores anaeróbios e filtros são otimizadas para cargas próximas às de projeto. A operação abaixo da capacidade ideal pode, portanto, resultar em desequilíbrios operacionais e custos operacionais proporcionais maiores.
Dentre os fatores que podem explicar essa condição, destacam-se: o número reduzido de ligações ativas ao sistema, possível permanência de fossas sépticas individuais em substituição à rede coletora; planejamento da ETE visando atender demandas futuras ainda não consolidadas; deficiências na rede coletora, como vazamentos e entupimentos, que impedem o escoamento completo do esgoto até a estação; e limitações na gestão operacional quanto à universalização da coleta e uso da infraestrutura.
Feito a aferição, o efluente segue para o posto de sucção, que bombeia o esgoto para as unidades seguintes por meio de barriletes.
Figura 10 – Calha Parshall
 
O tratamento secundário, de caráter biológico, tem início no reator UASB (Upflow Anaerobic Sludge Blanket), onde ocorre a degradação anaeróbia da matéria orgânica presente no esgoto bruto. Nesse processo, microrganismos atuam na ausência de oxigênio, promovendo a estabilização parcial do efluente e a geração de biogás, que pode ser reaproveitado energeticamente (Chernicharo, 2007).
O biogás gerado durante o processo de tratamento anaeróbio de esgoto, como nos reatores do tipo UASB ou biodigestores, é composto principalmente por metano (CH₄) e dióxido de carbono (CO₂), sendo um subproduto com alto potencial energético. Em muitas estações de tratamento, esse biogás é simplesmente queimado em flares para evitar a liberação de metano na atmosfera, dado seu alto impacto como gás de efeito estufa. No entanto, o aproveitamento energético desse recurso representa uma alternativa sustentável e economicamente viável. Quando tratado e purificado, o biogás pode ser utilizado para geração de energia elétrica por meio de motogeradores ou transformado em biometano, servindo como combustível veicular ou para aquecimento de processos internos da própria ETE. Essa medida permite não apenas a redução de custos operacionais com energia elétrica, mas também contribui para a sustentabilidade do sistema de esgotamento sanitário, promovendo a autossuficiência energética e o reaproveitamento de resíduos do processo de tratamento (Chernicharo, 2007; Von Sperling, 2014).
Após essa etapa, o esgoto segue para o sistema de aeração, ilustrado na Figura 11, que promove a inserção de oxigênio no meio líquido, favorecendo a ação de microrganismos aeróbios na decomposição da matéria orgânica residual. Essa combinação entre processos anaeróbios e aeróbios contribui para aumentar a eficiência de remoção da carga poluidora, principalmente da Demanda Bioquímica de Oxigênio (DBO), além de reduzir odores e preparar o efluente para as próximas fases.
Figura 11 – Sistema de Aeração
 
Em seguida, o esgoto passa por um filtro biológico (percolador ou similar), onde ocorre o polimento da carga orgânica, e, por fim, é encaminhado ao decantador secundário, onde os sólidos sedimentáveis são separados e o lodo é direcionado para unidades de desaguamento, como os leitos de secagem, apresentados na Figura 12.
Figura 12–Reator UASB, Filtro e Decantador
 
O biodigestor anaeróbio atua como etapa complementar, tratando o lodo excedente em ambiente sem oxigênio, gerando biogás (CH₄ e CO₂). No entanto, o aparelho encontra-se desativado há bastante tempo sob justificativa de manutenção, embora essa não tenha sido efetivamente realizada. Isso se deve ao fato de o sistema operar com folga, dispensando o uso contínuo do equipamento. Além disso, embora o biodigestor tenha potencial para geração de energia limpa, sua utilização tem sido considerada desnecessária no atual contexto operacional, também devido à baixa sob a qual a estação de tratamento opera, conforme informado pela CAGECE.
Após o tratamento, o efluente clarificado segue para um tanque de contato, apresentado na Figura 13. Neste momento ocorre a desinfecção (cloração) antes do lançamento final. A cloração consiste na adição controlada de compostos de cloro ao efluente tratado, com o objetivo de eliminar microrganismos patogênicos e garantir que o lançamento final esteja em conformidade com os padrões sanitários estabelecidos pela legislação ambiental. Esse processo ocorre geralmente em um tanque de contato, onde o efluente permanece por um tempo determinado, permitindo a ação eficaz do desinfetante. O agente clorado mais comumente utilizado é o hipoclorito de sódio, uma solução líquida de fácil manuseio e aplicação. A dosagem do cloro é calculada com base na vazão do efluente e na demanda de cloro residual necessária para assegurar a desinfecção, evitando tanto a subdosagem, que compromete a eficiência, quanto a superdosagem, que pode causar impactos negativos ao corpo receptor. Após esse processo, são coletadas amostras para análise laboratorial, a fim de verificar a conformidade com os parâmetros microbiológicos estabelecidos pelas resoluções CONAMA nº 430/2011 e COEMA nº 02/2017 (Von Sperling, 2014; Brito; Rangel, 2008).
Figura 13 – Tanque de Contato
 
A análise dos indicadores de qualidade do efluente tratado foi realizada com base nos dados presentes na Figura 14, que se trata de dados secundários disponibilizados pela CAGECE, responsável por todo o processo de coleta, realização de ensaios pertinentes e monitoramento das amostras.
Figura 14 – Resultados dos parâmetros de qualidade do efluente tratado na ETE Tenente Coelho Alves
 
A exigência de apenas alguns parâmetros para o monitoramento do efluente tratado da ETE do Condomínio Tenente Coelho, lançado no Riacho dos Macacos, está diretamente relacionada à classificação do corpo hídrico receptor e ao tipo de lançamento autorizado pelos órgãos ambientais competentes. Segundo a Resolução CONAMA n.º 430/2011, a exigência de monitoramento deve considerar o enquadramento do corpo hídrico, a natureza da atividade, a carga poluidora e os impactos potenciais (BRASIL, 2011, art. 7º). No caso em questão, o Riacho dos Macacos trata-se de um corpo hídrico urbano de pequeno porte, cuja função predominante é a drenagem urbana e a recepção de escoamentos sanitários tratados. Considerando essas características, o órgão licenciador estadual — a Superintendência Estadual do Meio Ambiente (SEMACE) — estabelece, por meio de licença, um conjunto específico de parâmetros a serem monitorados, conforme prevê também a Resolução COEMA n.º 02/2017 (CEARÁ, 2017, art. 12).
Dessa forma, conforme mostra a Tabela 1, parâmetros como pH, DBO, temperatura, coliformes termotolerantes, sólidos em suspensão, sólidos sedimentáveis, óleos e graxas, sulfetos e partículas flutuantes são considerados suficientes para o controle ambiental no caso desse tipo de lançamento.
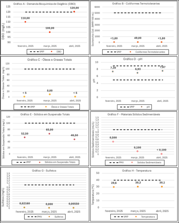
Os resultados dos parâmetros de qualidade do efluente tratado obtidos nos meses de fevereiro, março e abril de 2025, comparados com os limites estabelecidos pela Resolução CONAMA n.º 430/2011 e pela Resolução COEMA n.º 02/2017, podem ser visualizados na figura 15, que apresenta gráficos temporais com linhas de referência, nos quais os valores mensais obtidos para cada parâmetro de qualidade do efluente tratado estão representados em função do tempo (fevereiro a abril de 2025) e confrontada com a linha horizontal indicativa do Valor Máximo Permitido (VMP), conforme estabelecido pelas resoluções.
Em relação à Demanda Bioquímica de Oxigênio (DBO – 5 dias), observada no Gráfico A, foi possível notar que, nos três períodos de amostragem, os valores obtidos, comparados ao valor máximo permitido (VMP), correspondem a 91,67%, 83,33% e 100% do limite permitido. Isso demonstra que, embora os resultados se mantenham dentro da conformidade legal, estão próximos do limite máximo, reforçando a necessidade de atenção contínua a esse parâmetro específico, dado seu papel crítico na avaliação da carga orgânica do efluente. Isso evidencia que, embora os valores tenham permanecido dentro dos limites estabelecidos pela legislação ambiental vigente, estiveram próximos ao valor máximo permitido durante o período analisado, sendo que, no mês de abril, o resultado registrado atingiu exatamente esse limite, sinalizando a necessidade de atenção e controle mais rigoroso sobre esse parâmetro. A DBO é um dos principais indicadores de eficiência no tratamento biológico, pois representa a quantidade de matéria orgânica biodegradável presente no efluente (Von Sperling, 2014). O alcance do valor limite pode indicar que o sistema está operando próximo à sua capacidade em termos de degradação orgânica, que pode estar relacionado com o desempenho do reator UASB, que realiza o tratamento anaeróbio inicial, bem como com a eficiência do sistema de aeração, que complementa a remoção da carga orgânica por meio de processos aeróbios. Segundo Chernicharo (2016), o controle rigoroso da Demanda Bioquímica de Oxigênio é fundamental para assegurar a eficiência dos processos biológicos em estações de tratamento, evitando sobrecargas e garantindo a estabilidade operacional dos sistemas.
No que se refere à presença de Escherichia (coliformes termotolerantes), ilustrado no Gráfico B, os resultados obtidos nos meses de fevereiro e abril corresponderam a menos de 0,04% do VMP, enquanto em março atingiram aproximadamente 0,98% do limite máximo permitido. Todos esses valores estão significativamente abaixo do limite de 100% estabelecido pela legislação. Esse desempenho demonstra a elevada eficácia da etapa de desinfecção no processo de tratamento, resultando em um efluente sanitariamente seguro e com baixo risco microbiológico (Chernicharo, 2007).
Figura 15 – Gráficos comparativo entre parâmetros obtidos e limites máximos permitidos para o lançamento de efluentes em corpos receptores
 
O Gráfico C evidencia os valores de óleos e graxas totais, que variaram entre 5% e 8% do VMP. A presença mínima desses compostos no efluente tratado é um indicativo de que o sistema é eficiente na remoção de substâncias oleosas que poderiam, se lançadas em excesso, formar películas sobre a superfície da água, impedindo trocas gasosas e afetando a biota aquática (Santos, 2012).
Quanto às partículas flutuantes, os resultados das análises indicaram que estavam “virtualmente ausentes” em todos os meses avaliados, atendendo plenamente à exigência de ausência total segundo a legislação vigente. Esse desempenho evidencia a eficiência dos processos físicos iniciais, como gradeamento e decantação, na retenção de resíduos sólidos não sedimentáveis, contribuindo para a melhoria estética e ambiental do efluente (Von Sperling, 2014).
Em relação ao pH, os valores observados nos três meses e ilustrados no Gráfico D variaram dentro de 78,11% a 87,18% da faixa legal permitida, permanecendo no intervalo aceitável de 5,0 a 9,0. O controle adequado do pH é fundamental para preservar o equilíbrio químico do corpo hídrico receptor e garantir a sobrevivência de organismos aquáticos sensíveis a variações desse parâmetro (Apha et al., 2017).
A concentração de sólidos em suspensão totais variou entre 46,5% e 65% do VMP, conforme evidenciado no Gráfico E. A baixa presença de SST no efluente final é um reflexo da boa atuação dos processos de sedimentação e filtração da ETE, reduzindo a turbidez e prevenindo o assoreamento dos corpos d’água receptores (Chernicharo, 2007).
O Gráfico F ilustra os valores para os sólidos sedimentáveis, que corresponderam a 50% e 10% do limite máximo permitido, confirmando a eficiência do decantador secundário, responsável pela separação dos sólidos mais densos, impedindo seu lançamento no meio ambiente e contribuindo para a clarificação do efluente (Von Sperling, 2014).
Os sulfetos foram encontrados em concentrações extremamente baixas, entre 0,15% e 2,16% do VMP, conforme mostrado no Gráfico G. A presença mínima desse composto indica estabilidade nas etapas de tratamento anaeróbio e reduz o risco de formação de odores desagradáveis e corrosão de estruturas metálicas, problemas comuns em sistemas mal ventilados ou sobrecarregados (Santos, 2012).
Nesse contexto, o Gráfico H demonstra que a temperatura do efluente tratado variou entre 74% e 75,75% do limite permitido pela legislação. A temperatura do efluente está diretamente relacionada à sua capacidade de afetar o equilíbrio térmico do corpo hídrico receptor. Valores dentro do limite indicam que o efluente tratado não oferece risco de impacto térmico negativo à biota local (Von Sperling, 2014).
7. CONSIDERAÇÕES FINAIS
A Estação de Tratamento de Efluentes do condomínio foi dimensionada para suportar uma vazão bem maior do que o que atualmente recebe, não aproveitando assim a capacidade máxima do sistema, indicando uma subutilização da infraestrutura existente e uma possível ociosidade dos recursos. Embora isso possa ser interpretado como um benefício em termos de capacidade de suporte, a realidade é que a subutilização de recursos pode resultar em desperdício de investimentos e custos operacionais desnecessários. Além disso, isso implica na perda de eficiência, visto que o sistema não está sendo aproveitado em sua totalidade.
Sob esse ângulo, uma análise detalhada do comportamento do sistema ao longo do tempo poderia sugerir melhorias significativas. Uma opção recomendada seria uma ampliação da capacidade de coleta e tratamento dos efluentes, ajustando o fluxo, redirecionando ou até mesmo adicionando contribuições de redes novas, ou já existentes, redistribuindo a carga entre as unidades, de modo que o sistema opere de forma mais eficiente e dentro de sua capacidade máxima, visto que o município já sofre bastante por falta de sistemas de coleta de esgoto eficazes e de ETE’s. Esse aumento da utilização permitiria que o sistema operasse de maneira mais otimizada, reduzindo a ociosidade e aproveitando ao máximo os recursos já instalados. Contudo, seria necessário realizar um estudo detalhado da dinâmica de carga e fluxo de esgoto para ajustar os parâmetros operacionais do sistema visando prevenir situações de sobrecarga decorrentes de superutilização.
Nesse contexto, o uso de sistemas alternativos de tratamento de efluentes, como o biodigestor anaeróbio, pode também representar uma melhoria substancial na qualidade do tratamento dos efluentes do condomínio. Esse processo biológico contribui para a produção de biogás, o que permitiria a geração de energia limpa a partir dos resíduos orgânicos, reduzindo custos operacionais com eletricidade e promovendo uma abordagem sustentável para o tratamento de efluentes.
A reativação do biodigestor existente poderia ser uma solução viável, especialmente considerando que esse tipo de sistema é eficaz na redução de sólidos e nutrientes. Sua operação contribuiria também para reduzir a pressão sobre o sistema aeróbio atual, equilibrando melhor as etapas do tratamento biológico e evitando sobrecargas no reator UASB e no sistema de aeração.
Esse tipo de ação não só aumentaria a eficiência do sistema de esgoto, mas também agregaria mais eficiência, segurança operacional e sustentabilidade ao sistema de esgotamento sanitário, promovendo um tratamento mais eficiente e econômico dos efluentes, principalmente em uma situação de aumento de utilização da capacidade, no qual um volume maior de efluente seria tratado e consequentemente uma maior quantidade de energia limpa seria gerada.
Por fim, tais melhorias são fundamentais para a manutenção da qualidade ambiental da região, especialmente em relação ao impacto no Riacho dos Macacos e para garantir que o sistema de esgoto continue a atender às necessidades do condomínio de forma eficiente e sustentável.
8. REFERÊNCIAS
ABNT – ASSOCIAÇÃO BRASILEIRA DE NORMAS TÉCNICAS. NBR 9649: Projeto de redes coletoras de esgoto sanitário. Rio de Janeiro, 1986. Disponível em: https://www.normas.com.br/visualizar/abnt-nbr-nm/9649. Acesso em: 29 maio 2025.
ALMEIDA, J. R. F. Transporte reativo de contaminantes nitrogenados em zonas vadosa e saturada na bacia do Riacho dos Macacos em Juazeiro do Norte – Ceará. 2015. 116 f. Tese (Doutorado em Engenharia Civil: Recursos Hídricos) – Universidade Federal do Ceará, Fortaleza, 2015. Disponível em: https://repositorio.ufc.br/handle/riufc/15966. Acesso em: 2 mai. 2025.
BARBOSA, M. A. Estações compactas de tratamento de esgoto doméstico: uma alternativa viável para empreendimentos residenciais. Revista Brasileira de Saneamento, v. 12, n. 3, p. 45–52, 2009. Disponível em: https://repositorio.ufmg.br/bitstream/1843/BUOS-9ARK6S/1/monografia_esp_eng_sanit_ria_ufmg_julmar_nunes_barbosa.pdf. Acesso em: 30 abr. 2025.
BLOG DO BOA. Câmara aprova concessão da Cagece em Juazeiro por mais 30 anos. 2019. Disponível em: https://www.blogdoboa.com.br/?cod_post=1127&page=post. Acesso em: 28 maio 2025.
BRASIL. Conselho Nacional do Meio Ambiente (CONAMA). Resolução nº 430, de 13 de maio de 2011. Dispõe sobre as condições e padrões de lançamento de efluentes. Diário Oficial da União, Brasília, DF, 16 maio 2011. Disponível em: https://www.in.gov.br/en/web/dou/-/resolucao-n-430-de-13-de-maio-de-2011-22071708. Acesso em: 21 maio 2025.
BRASIL. Lei n.º 11.445, de 5 de janeiro de 2007. Estabelece diretrizes nacionais para o saneamento básico. Diário Oficial da União: seção 1, Brasília, DF, ano 144, n. 4, p. 2-6, 8 jan. 2007.
BRITO, L. B.; RANGEL, G. M. Tratamento de esgotos domésticos: fundamentos e aplicações. 2. ed. São Paulo: EdUFSCar, 2008. Disponível em: https://www.skoob.com.br/livro/pdf/tratamento-de-esgotos-domesticos/livro%3A543544/edicao%3A553149. Acesso em: 30 abr. 2025.
CAGECE – COMPANHIA DE ÁGUA E ESGOTO DO CEARÁ. Dados técnicos de projetos internos. Juazeiro do Norte, 2025.
CAGECE. Contratos de prestação de serviços e aditivos. Fortaleza: Companhia de Água e Esgoto do Ceará, 2024. Disponível em: https://www.cagece.com.br/documentos-publicacoes/contratos-de-prestacao-de-servicos-e-aditivos/. Acesso em: 28 maio 2025.
CAGECE. Monitoramento de água e expansão da rede de esgoto: segurança hídrica e sanitária para Juazeiro do Norte. 2024. Disponível em: https://www.cagece.com.br/comunicacao/noticias/monitoramento-de-agua-e-expansao-da-rede-de-esgoto-seguranca-hidrica-e-sanitaria-para-juazeiro-norte/. Acesso em: 2 mai. 2025.
CAIXA ECONÔMICA FEDERAL. Manual Técnico do Programa Minha Casa Minha Vida: parâmetros habitacionais e demográficos. Brasília: CAIXA, 2021. Disponível em: https://www.caixa.gov.br. Acesso em: 29 maio 2025.
CEARÁ. Conselho Estadual do Meio Ambiente (COEMA). Resolução nº 02, de 02 de fevereiro de 2017. Estabelece diretrizes e critérios para o lançamento de efluentes líquidos em corpos receptores no Estado do Ceará. Diário Oficial do Estado do Ceará, Fortaleza, CE, 2017. Disponível em: https://www.semace.ce.gov.br/. Acesso em: 21 maio 2025.
CHERNICHARO, C. A. L. Reatores Anaeróbios: princípios do tratamento biológico de águas residuárias. 2. ed. Belo Horizonte: DESA/UFMG, 2007. Disponível em: https://www.editora.ufmg.br/arquivo/public/946. Acesso em: 30 abr. 2025.
COEMA – CONSELHO ESTADUAL DO MEIO AMBIENTE (CE). Resolução n.º 02, de 9 de março de 2017. Dispõe sobre padrões de lançamento de efluentes líquidos no estado do Ceará. Disponível em: https://www.semace.ce.gov.br/. Acesso em: 5 jun. 2025.
CONAMA – CONSELHO NACIONAL DO MEIO AMBIENTE. Resolução n.º 357, de 17 de março de 2005. Dispõe sobre a classificação dos corpos de água e diretrizes ambientais para seu enquadramento. Disponível em http://www2.mma.gov.br/port/conama/legiabre.cfm?codlegi=459. Acesso em: 5 jun. 2025.
CONAMA – CONSELHO NACIONAL DO MEIO AMBIENTE. Resolução n.º 430, de 13 de maio de 2011. Dispõe sobre as condições e padrões de lançamento de efluentes, complementa e altera a Resolução n.º 357/2005. Disponível em: http://www2.mma.gov.br/port/conama/legiabre.cfm?codlegi=646. Acesso em: 5 jun. 2025.
CONSELHO ESTADUAL DO MEIO AMBIENTE – COEMA. Resolução n.º 02, de 2 de fevereiro de 2017. Dispõe sobre padrões de lançamento e reuso de efluentes no Estado do Ceará. Disponível em: https://www.semace.ce.gov.br/wp-content/uploads/sites/9/2018/06/Resolu%C3%A7%C3%A3o-Coema-02-2017.pdf. Acesso em: 30 abr. 2025.
CONSELHO NACIONAL DO MEIO AMBIENTE – CONAMA. Resolução nº 430, de 13 de maio de 2011. Dispõe sobre condições e padrões de lançamento de efluentes. Diário Oficial da União: seção 1, Brasília, DF, n. 92, p. 89–96, 16 maio 2011. Disponível em: https://www.in.gov.br/en/web/dou/-/resolucao-n-430-de-13-de-maio-de-2011-16856657. Acesso em: 30 abr. 2025.
FRANÇA, R. M. da et al. Contaminação de poços tubulares em Juazeiro do Norte-CE. Engenharia Sanitária e Ambiental, v. 11, n. 1, p. 54-63, 2006. Disponível em: https://www.scielo.br/j/esa/a/47wp4TqBLSTXpG34vTgSTTx/. Acesso em: 2 mai. 2025.
IBGE. Juazeiro do Norte (CE) | Panorama. 2023. Disponível em: https://cidades.ibge.gov.br/brasil/ce/juazeiro-do-norte/panorama. Acesso em: 2 mai. 2025.
INSTITUTO TRATA BRASIL. Juazeiro do Norte – Dados de Saneamento. São Paulo: Instituto Trata Brasil, 2021. Disponível em: https://www.aguaesaneamento.org.br/municipios-e-saneamento/ce/juazeiro-do-norte. Acesso em: 05 maio 2025.
IPECE. Perfil Básico Municipal: Juazeiro do Norte. Fortaleza: Instituto de Pesquisa e Estratégia Econômica do Ceará, 2024. Acesso em: 13 mai. 2025.
ABNT – ASSOCIAÇÃO BRASILEIRA DE NORMAS TÉCNICAS. NBR 12208:2017 – Projeto de redes coletoras de esgoto sanitário. Rio de Janeiro, 2017. Disponível em: https://www.abntcatalogo.com.br/norma.aspx?ID=362381. Acesso em: 12 jun. 2025.
JUAZEIRODONORTE.NET.BR. Condomínio Residencial Tenente Coelho II. 2024. Disponível em: https://www.juazeirodonorte.net.br/sobre/condominio-residencial-tenente-coelho-ii-juazeiro-do-norte-ce. Acesso em: 2 mai. 2025.
OBSERVATÓRIO DO MARCO LEGAL DO SANEAMENTO. O saneamento em Juazeiro do Norte | CE | Municípios e Saneamento. 2022. Disponível em: https://www.aguaesaneamento.org.br/municipios-e-saneamento/ce/juazeiro-do-norte. Acesso em: 2 mai. 2025.
PEREIRA, J. P. Nitrato nos poços tubulares às margens do Riacho dos Macacos em Juazeiro do Norte – CE. In: CONGRESSO SUL-AMERICANO DE RESÍDUOS SÓLIDOS E SUSTENTABILIDADE, 6., 2023. Disponível em: https://www.academia.edu/114303856/Nitrato_Nos_Po%C3%A7os_Tubulares_%C3%80s_Margens_Do_Riacho_Dos_Macacos_Em_Juazeiro_Do_Norte_Ce. Acesso em: 2 mai. 2025.
SANTOS, A. M. dos. Saneamento básico: manual de projetos. São Paulo: Oficina de Textos, 2012. Disponível em: https://www.ofitexto.com.br/saneamento-basico-manual-de-projetos/p. Acesso em: 30 maio 2025.
SEMACE – Superintendência Estadual do Meio Ambiente do Ceará. Página institucional. Disponível em: https://www.semace.ce.gov.br/. Acesso em: 21 maio 2025.
SILVA, J. F. Fundamentos do tratamento de esgoto. 1. ed. Rio de Janeiro: Interciência, 2012. Disponível em: https://www.academia.edu/9614849/Apostila_Tratamento_de_Esgotos. Acesso em: 30 abr. 2025.
SNIS - IAS. Sistema Nacional de Informações sobre Saneamento. Diagnóstico dos Serviços de Água e Esgotos – 2022. Brasília: Ministério das Cidades, 2023. Acesso em: 28 maio 2025.
VON SPERLING, M. Introdução à qualidade das águas e ao tratamento de esgotos. 4. ed. Belo Horizonte: DESA/UFMG, 2014. Disponível em: https://www.amazon.com.br/Introdu%C3%A7%C3%A3o-Qualidade-%C3%81guas-Tratamento-Esgotos/dp/854230053X. Acesso em: 30 abr. 2025.
Publicado por
Hugo Alixandre Alves de Lima1
Sávio de Brito Fontenele2
1 Graduando(a) em Engenharia Civil. Centro Universitário Paraíso
2 Professor orientador. [Engenheiro de Produção Mecânica, Doutor em Engenharia Agrícola, Docente do curso de Engenharia Civil-UniFAP]
Publicado por: Hugo Alixandre Alves de Lima
 
                    O texto publicado foi encaminhado por um usuário do site por meio do canal colaborativo Monografias. Brasil Escola não se responsabiliza pelo conteúdo do artigo publicado, que é de total responsabilidade do autor . Para acessar os textos produzidos pelo site, acesse: https://www.brasilescola.com.
 
                     
                                                     
                                                     
                                                     
                                                     
                                                     
                                                     
                                                     
                                                     
                                                     
                                                     
                                                     
                                                     
                                                     
                                                     
                                                     
                                                     
                                                     
                                                     
                                                     
                                                     
                                                     
                                                     
                                                    